Справка документа
Источник публикации
Официальный интернет-портал правовой информации http://pravo.gov.ru, 06.10.2020
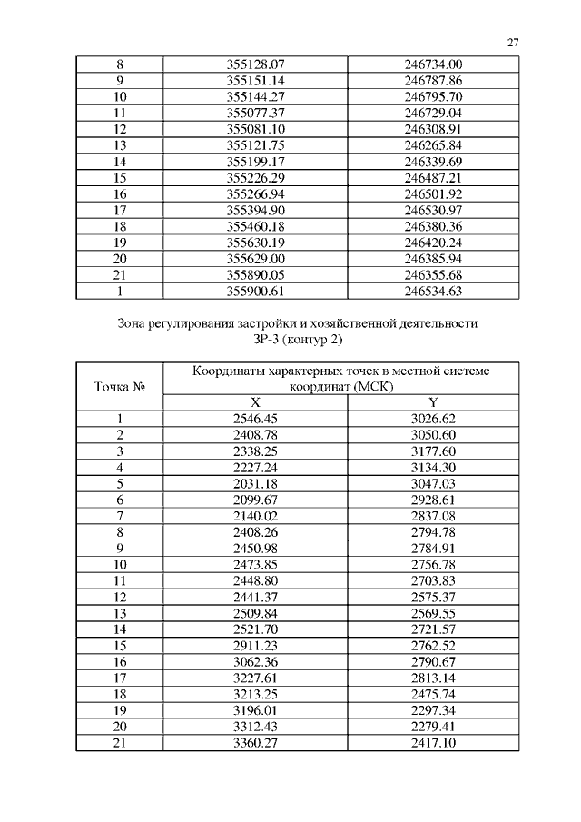
Постановление Правительства Ивановской области от 05.10.2020 N 489-п "Об установлении зон охраны объекта культурного наследия федерального значения "Спасо-Березниковская церковь", 1682 г., и об утверждении требований к градостроительным регламентам в границах данных зон" (вместе со "Схемой зон охраны объекта культурного наследия", "Требованиями к градостроительным регламентам в границах территорий зон охраны объекта культурного наследия федерального значения "Спасо-Березниковская церковь", 1682 г., расположенного по адресу: Ивановская область, Приволжский район, д. Спасское, Спасская ул.")
Скачать:
PDF (2 Мб)
Страница 27 из 47