Справка документа
Источник публикации
Документ опубликован не был
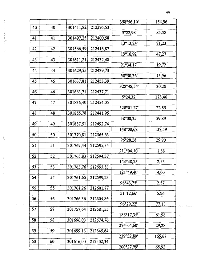
Распоряжение Правительства Ивановской области от 02.08.2019 N 122-рп "Об утверждении проекта планировки и проекта межевания территории, предназначенной для строительства автомобильной дороги Аэропорт "Южный" - ул. Станкостроителей в г. Иваново Ивановской области (Западный обход г. Иваново)"
Скачать:
PDF (1 Мб)
Страница 35 из 48