Справка документа
Источник публикации
Документ опубликован не был
Изменяется следующими документами:
Распоряжение Правительства Ивановской области от 05.07.2017 N 130-рп
Распоряжение Правительства Ивановской области от 25.01.2017 N 5-рп
Распоряжение Правительства Ивановской области от 21.09.2016 N 197-рп
Распоряжение Правительства Ивановской области от 13.11.2015 N 262-рп
Распоряжение Правительства Ивановской области от 02.07.2015 N 160-рп
Распоряжение Правительства Ивановской области от 27.06.2014 N 144-рп
Распоряжение Правительства Ивановской области от 04.09.2013 N 218-рп
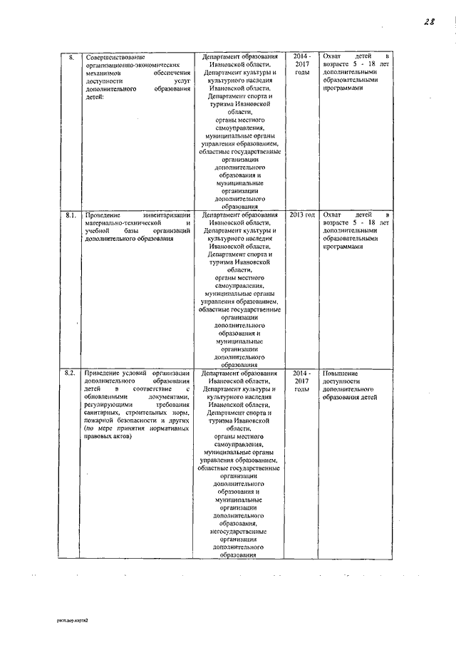
Распоряжение Правительства Ивановской области от 09.04.2013 N 75-рп "Об утверждении плана мероприятий ("дорожной карты") "Изменения в отраслях социальной сферы, направленные на повышение эффективности образования"
Скачать:
PDF (2 Мб)
Страница 30 из 45