Справка документа
Источник публикации
Официальный интернет-портал правовой информации http://pravo.gov.ru, 06.02.2026
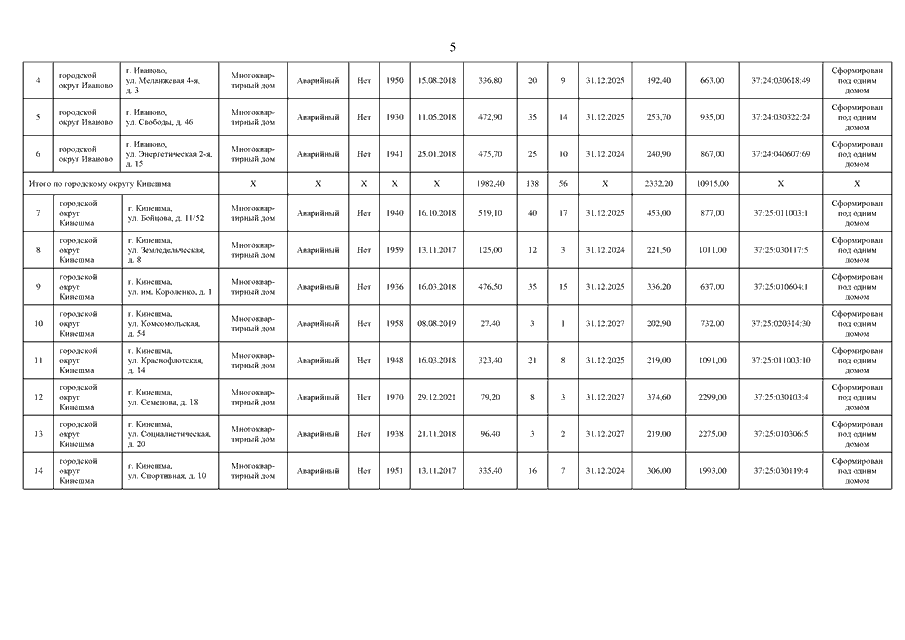
Постановление Правительства Ивановской области от 05.02.2026 N 33-п "О внесении изменений в постановление Правительства Ивановской области от 03.06.2024 N 232-п "Об утверждении региональной адресной программы "Переселение граждан из аварийного жилищного фонда на территории Ивановской области на 2024 - 2030 годы" (вместе с "Реестром жилищного фонда (многоквартирные дома, дома блокированной застройки, объекты индивидуального жилищного строительства)", "Планом реализации мероприятий по переселению граждан из аварийного жилищного фонда по способам переселения")
Скачать:
PDF (352 Кб)
Страница 5 из 10