Справка документа
Источник публикации
Официальный интернет-портал правовой информации http://pravo.gov.ru, 29.09.2022
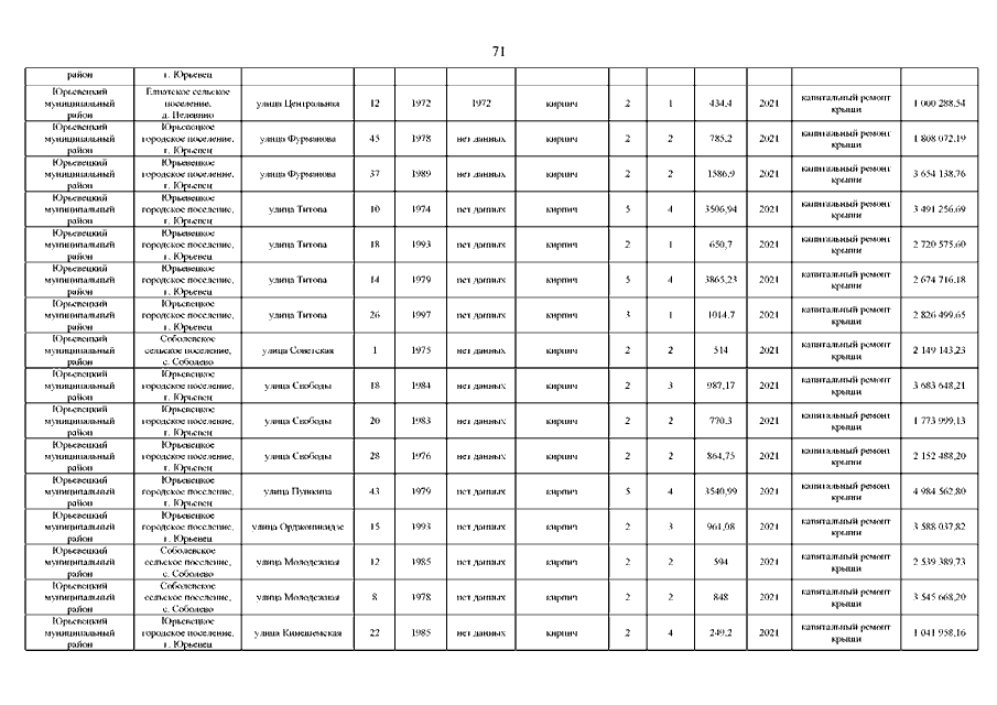
Постановление Правительства Ивановской области от 28.09.2022 N 544-п "О внесении изменения в постановление Правительства Ивановской области от 05.10.2020 N 487-п "Об утверждении краткосрочного плана реализации региональной программы капитального ремонта общего имущества в многоквартирных домах, расположенных на территории Ивановской области, на 2021 - 2023 годы"
Скачать:
PDF (5 Мб)
Страница 71 из 94