Справка документа
Источник публикации
Официальный интернет-портал правовой информации http://pravo.gov.ru, 13.09.2022
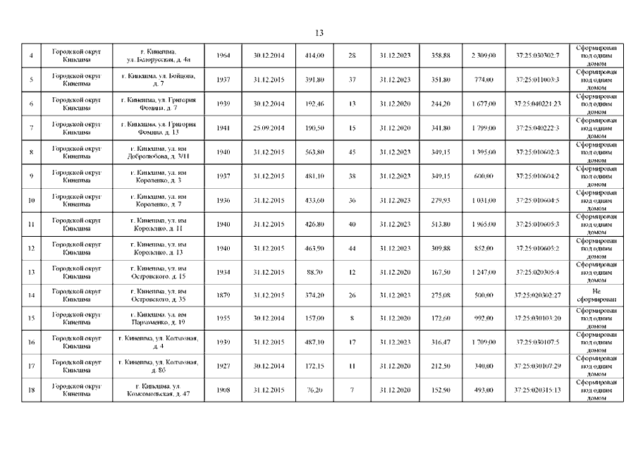
Постановление Правительства Ивановской области от 09.09.2022 N 484-п "О внесении изменений в постановление Правительства Ивановской области от 09.04.2019 N 131-п "Об утверждении региональной адресной программы "Переселение граждан из аварийного жилищного фонда на территории Ивановской области на 2019 - 2023 годы" (вместе с "Перечнем многоквартирных домов, признанных аварийными до 1 января 2017 года", "Планом реализации мероприятий по переселению граждан из аварийного жилищного фонда, признанного таковым до 1 января 2017 года, по способам переселения")
Скачать:
PDF (1 Мб)
Страница 13 из 27