Справка документа
Источник публикации
Официальный интернет-портал правовой информации http://pravo.gov.ru, 06.09.2022
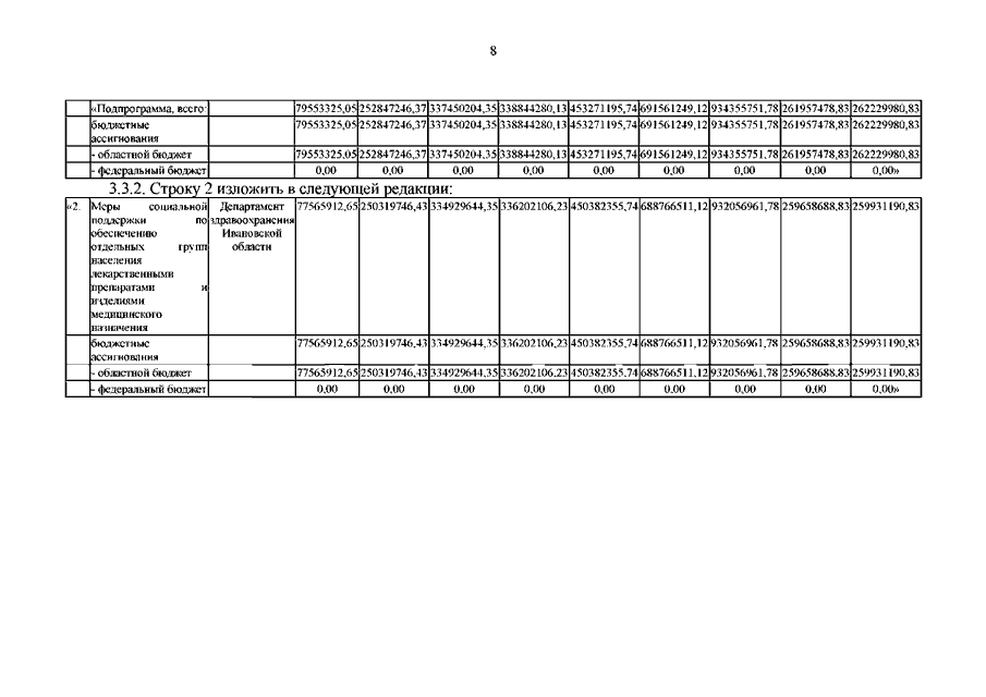
Постановление Правительства Ивановской области от 31.08.2022 N 469-п "О внесении изменений в постановление Правительства Ивановской области от 13.11.2013 N 449-п "Об утверждении государственной программы Ивановской области "Развитие здравоохранения Ивановской области"
Скачать:
PDF (297 Кб)
Страница 8 из 9