Справка документа
Источник публикации
Официальный интернет-портал правовой информации http://pravo.gov.ru, 08.07.2022
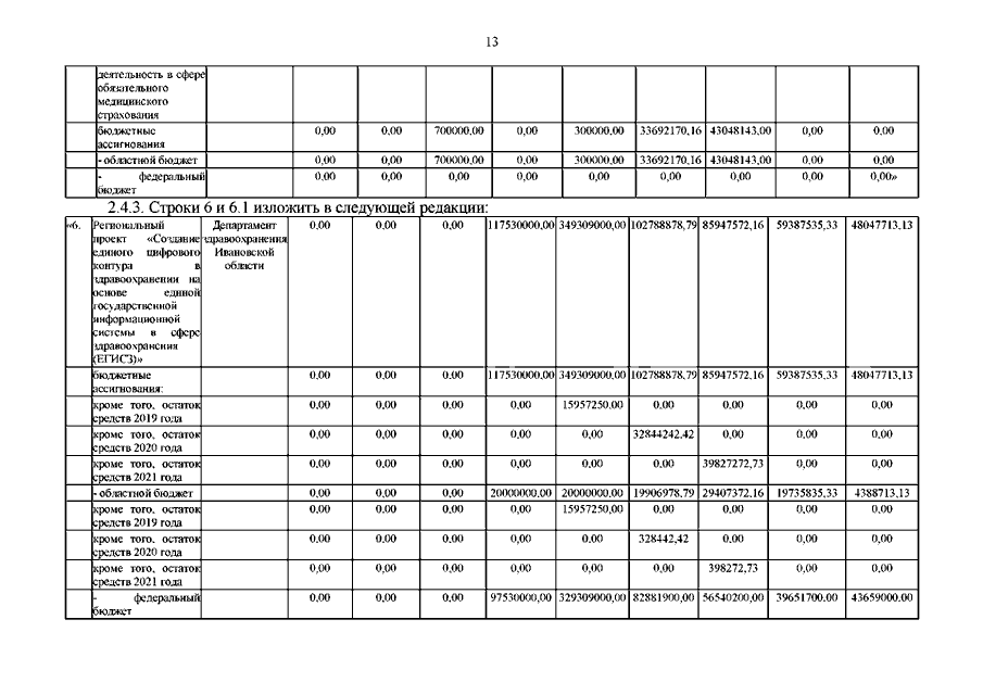
Постановление Правительства Ивановской области от 06.07.2022 N 343-п "О внесении изменений в постановление Правительства Ивановской области от 13.11.2013 N 449-п "Об утверждении государственной программы Ивановской области "Развитие здравоохранения Ивановской области"
Скачать:
PDF (976 Кб)
Страница 13 из 30