Справка документа
Источник публикации
Документ опубликован не был
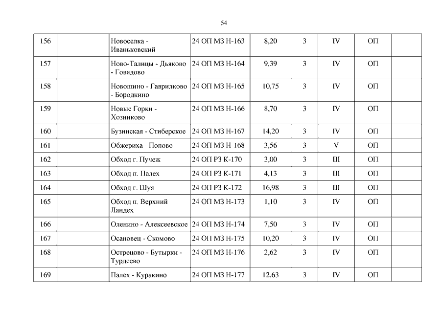
Распоряжение Правительства Ивановской области от 21.06.2022 N 67-рп "О передаче автомобильных дорог и о внесении изменения в распоряжение Правительства Ивановской области от 02.07.2008 N 222-рп "Об утверждении перечня автомобильных дорог общего пользования регионального или межмуниципального значения Ивановской области" (вместе с "Перечнем имущества, передаваемого из муниципальной собственности городского округа Кинешма в собственность Ивановской области", "Перечнем имущества, передаваемого из муниципальной собственности Заволжского муниципального района в собственность Ивановской области", "Перечнем имущества, передаваемого из муниципальной собственности Комсомольского муниципального района в собственность Ивановской области", "Перечнем имущества, передаваемого из муниципальной собственности Комсомольского городского поселения Комсомольского муниципального района в собственность Ивановской области", "Перечнем имущества, передаваемого из муниципальной собственности Лежневского городского поселения Лежневского муниципального района в собственность Ивановской области", "Перечнем имущества, передаваемого из муниципальной собственности Наволокского городского поселения Кинешемского муниципального района в собственность Ивановской области", "Перечнем имущества, передаваемого из муниципальной собственности Плесского городского поселения Приволжского муниципального района в собственность Ивановской области", "Перечнем имущества, передаваемого из муниципальной собственности Савинского городского поселения Савинского муниципального района в собственность Ивановской области", "Перечнем имущества, передаваемого из муниципальной собственности Фурмановского муниципального района в собственность Ивановской области", "Перечнем имущества, передаваемого из собственности Ивановской области в муниципальную собственность Верхнеландеховского муниципального района", "Перечнем имущества, передаваемого из собственности Ивановской области в муниципальную собственность Заволжского муниципального района", "Перечнем имущества, передаваемого из собственности Ивановской области в муниципальную собственность Кинешемского муниципального района", "Перечнем имущества, передаваемого из собственности Ивановской области в муниципальную собственность Лухского муниципального района", "Перечнем имущества, передаваемого из собственности Ивановской области в муниципальную собственность Палехского муниципального района", "Перечнем имущества, передаваемого из собственности Ивановской области в муниципальную собственность Пучежского муниципального района", "Перечнем имущества, передаваемого из собственности Ивановской области в муниципальную собственность муниципального образования "Родниковский муниципальный район", "Перечнем имущества, передаваемого из собственности Ивановской области в муниципальную собственность Савинского муниципального района", "Перечнем имущества, передаваемого из собственности Ивановской области в муниципальную собственность Шуйского муниципального района", "Перечнем имущества, передаваемого из собственности Ивановской области в муниципальную собственность Южского муниципального района")
Скачать:
PDF (2 Мб)
Страница 54 из 69