Справка документа
Источник публикации
Официальный интернет-портал правовой информации http://pravo.gov.ru, 28.04.2022,
Официальный сайт Правительства Ивановской области http://www.ivanovoobl.ru, 28.04.2022
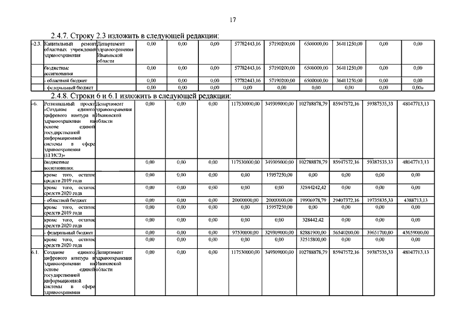
Постановление Правительства Ивановской области от 28.04.2022 N 199-п "О внесении изменений в постановление Правительства Ивановской области от 13.11.2013 N 449-п "Об утверждении государственной программы Ивановской области "Развитие здравоохранения Ивановской области"
Скачать:
PDF (1 Мб)
Страница 17 из 35