Справка документа
Источник публикации
Официальный интернет-портал правовой информации http://pravo.gov.ru, 18.02.2022
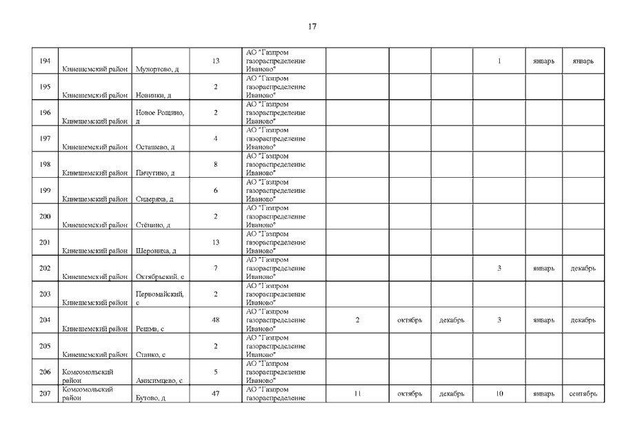
Постановление Правительства Ивановской области от 16.02.2022 N 72-п "О внесении изменений в постановление Правительства Ивановской области от 28.12.2020 N 678-п "Об утверждении Региональной программы газификации жилищно-коммунального хозяйства, промышленных и иных организаций Ивановской области на 2020 - 2024 годы" (вместе со "Сводным планом-графиком догазификации", "Пообъектным планом-графиком догазификации")
Скачать:
PDF (10 Мб)
Страница 17 из 270