Справка документа
Источник публикации
Официальный интернет-портал правовой информации http://pravo.gov.ru, 18.02.2022
Изменяется следующим документом:
Постановление Правительства Ивановской области от 17.03.2022 N 120-п
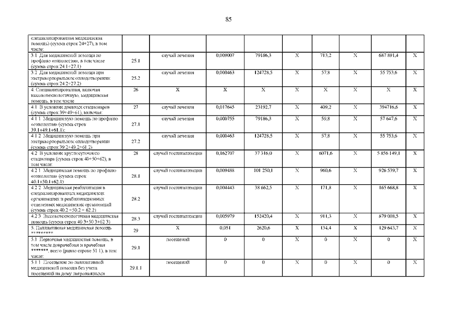
Постановление Правительства Ивановской области от 15.02.2022 N 71-п "Об утверждении Территориальной программы государственных гарантий бесплатного оказания гражданам медицинской помощи на территории Ивановской области на 2022 год и на плановый период 2023 и 2024 годов"
Скачать:
PDF (6 Мб)
Страница 85 из 103