Справка документа
Источник публикации
Официальный интернет-портал правовой информации http://pravo.gov.ru, 27.01.2022
Постановление Правительства Ивановской области от 27.01.2022 N 22-п "О внесении изменений в постановление Правительства Ивановской области от 13.11.2013 N 449-п "Об утверждении государственной программы Ивановской области "Развитие здравоохранения Ивановской области"
Скачать:
PDF (4 Мб)
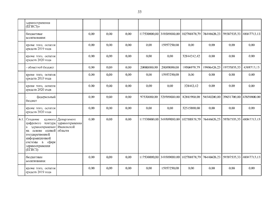
Страница 33 из 105