Справка документа
Источник публикации
Официальный сайт Правительства Ивановской области http://www.ivanovoobl.ru, 20.01.2022,
Официальный интернет-портал правовой информации http://pravo.gov.ru, 21.01.2022
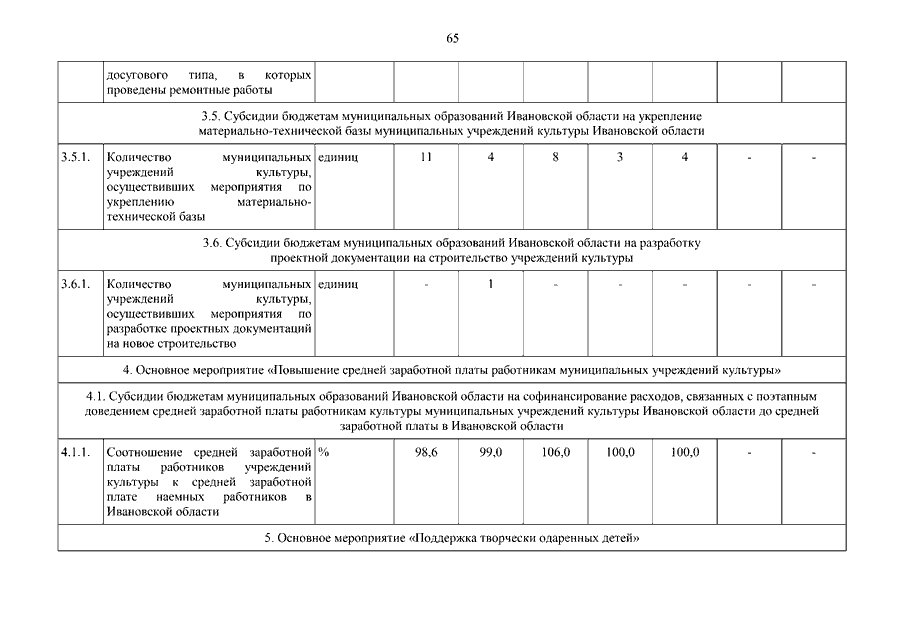
Постановление Правительства Ивановской области от 20.01.2022 N 7-п "О внесении изменений в постановление Правительства Ивановской области от 06.12.2017 N 455-п "Об утверждении государственной программы Ивановской области "Развитие культуры и туризма в Ивановской области" (вместе с "Порядком предоставления и распределения субсидий бюджетам муниципальных образований Ивановской области на реализацию мероприятий по модернизации библиотек в части комплектования книжных фондов библиотек муниципальных образований", "Порядком предоставления и распределения субсидий бюджетам муниципальных образований на техническое оснащение муниципальных музеев", "Порядком предоставления и распределения субсидий бюджетам муниципальных образований Ивановской области на создание и модернизацию учреждений культурно-досугового типа в сельской местности", "Порядком предоставления и распределения субсидий бюджетам муниципальных образований Ивановской области на создание центров культурного развития в городах с числом жителей до 300 тысяч человек")
Скачать:
PDF (5 Мб)
Страница 65 из 113