Справка документа
Источник публикации
Официальный интернет-портал правовой информации http://pravo.gov.ru, 30.12.2021
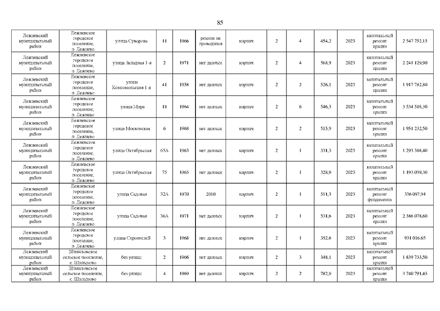
Постановление Правительства Ивановской области от 29.12.2021 N 715-п "О внесении изменения в постановление Правительства Ивановской области от 05.10.2020 N 487-п "Об утверждении краткосрочного плана реализации региональной программы капитального ремонта общего имущества в многоквартирных домах, расположенных на территории Ивановской области, на 2021 - 2023 годы"
Скачать:
PDF (6 Мб)
Страница 85 из 124