Справка документа
Источник публикации
Официальный интернет-портал правовой информации http://pravo.gov.ru, 29.12.2021
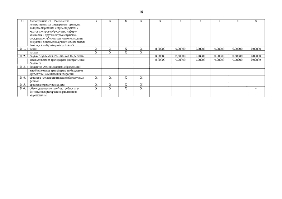
Постановление Правительства Ивановской области от 27.12.2021 N 694-п "О внесении изменений в постановление Правительства Ивановской области от 15.12.2020 N 626-п "Об утверждении Региональной программы модернизации первичного звена здравоохранения Ивановской области на 2021 - 2025 годы"
Скачать:
PDF (634 Кб)
Страница 18 из 18