Справка документа
Источник публикации
Официальный интернет-портал правовой информации http://pravo.gov.ru, 29.12.2021
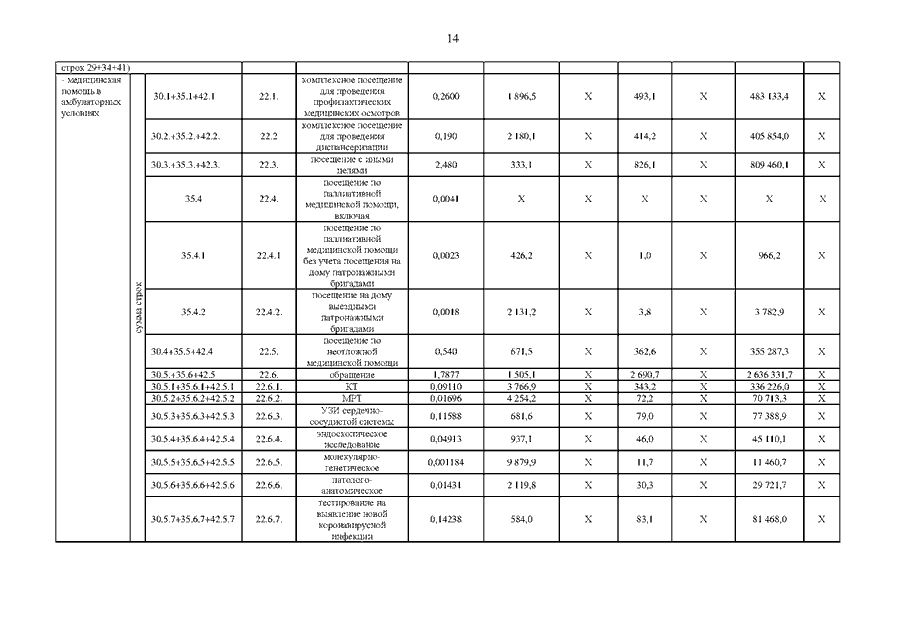
Постановление Правительства Ивановской области от 28.12.2021 N 699-п "О внесении изменений в постановление Правительства Ивановской области от 20.02.2021 N 96-п "Об утверждении Территориальной программы государственных гарантий бесплатного оказания гражданам медицинской помощи на территории Ивановской области на 2021 год и на плановый период 2022 и 2023 годов"
Скачать:
PDF (657 Кб)
Страница 14 из 19