Справка документа
Источник публикации
Официальный интернет-портал правовой информации http://pravo.gov.ru, 28.12.2021
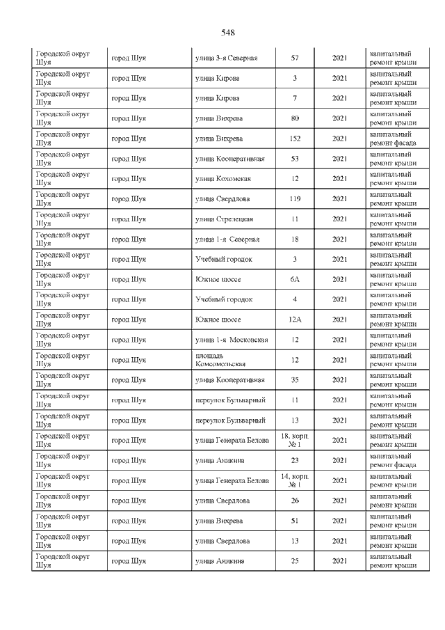
Постановление Правительства Ивановской области от 27.12.2021 N 690-п "О внесении изменений в постановление Правительства Ивановской области от 30.04.2014 N 164-п "Об утверждении региональной программы капитального ремонта общего имущества в многоквартирных домах, расположенных на территории Ивановской области"
Скачать:
PDF (44 Мб)
Страница 548 из 1002