Справка документа
Источник публикации
Официальный сайт Правительства Ивановской области http://www.ivanovoobl.ru, 28.12.2021,
Официальный интернет-портал правовой информации http://pravo.gov.ru, 29.12.2021
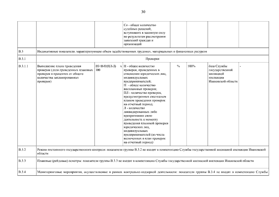
Постановление Правительства Ивановской области от 27.12.2021 N 695-п "Об утверждении Положения о региональном государственном лицензионном контроле за осуществлением предпринимательской деятельности по управлению многоквартирными домами" (вместе с "Положением о региональном государственном лицензионном контроле за осуществлением предпринимательской деятельности по управлению многоквартирными домами на территории Ивановской области")
Скачать:
PDF (2 Мб)
Страница 30 из 34