Справка документа
Источник публикации
Официальный интернет-портал правовой информации http://pravo.gov.ru, 14.12.2021
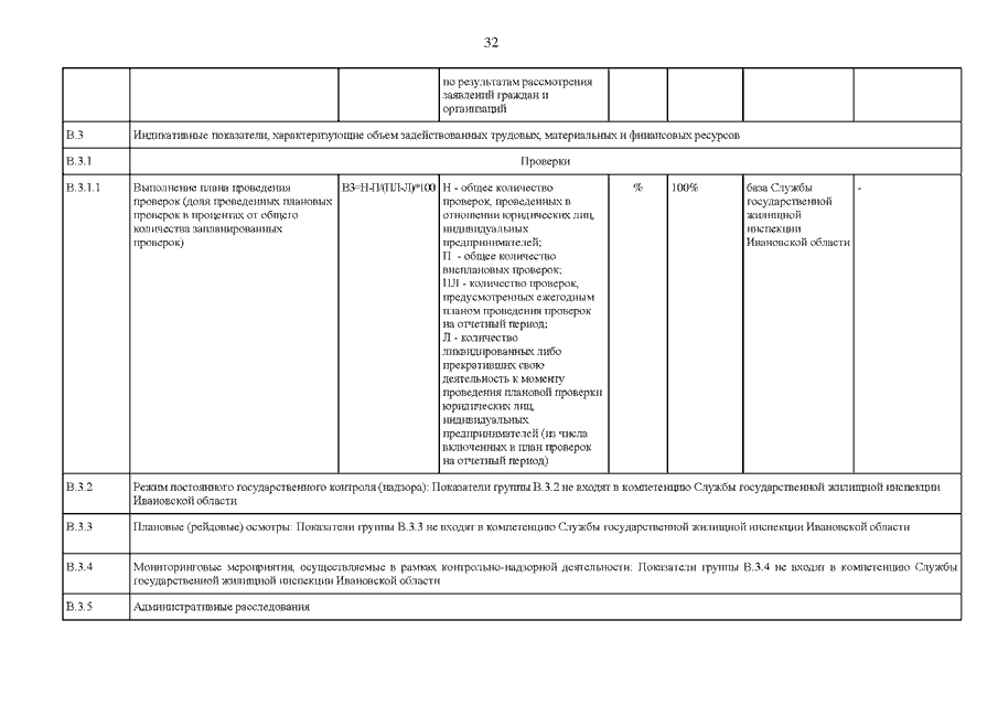
Постановление Правительства Ивановской области от 13.12.2021 N 608-п "Об утверждении Положения о региональном государственном жилищном надзоре и признании утратившими силу некоторых постановлений Правительства Ивановской области"
Скачать:
PDF (2 Мб)
Страница 32 из 35