Справка документа
Источник публикации
Официальный интернет-портал правовой информации http://pravo.gov.ru, 23.09.2021
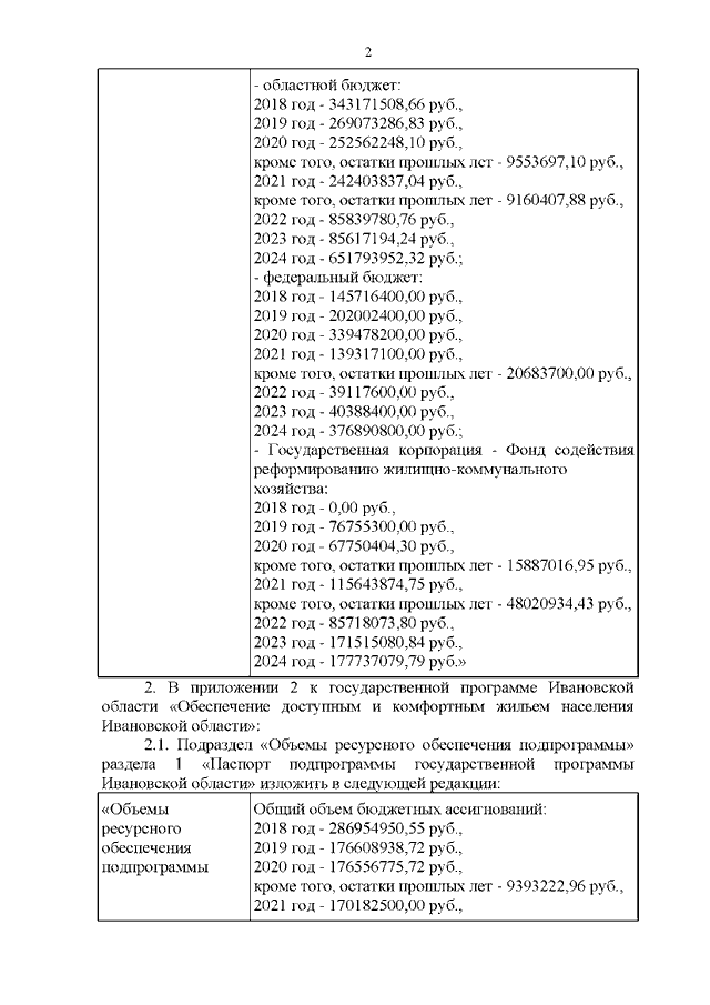
Постановление Правительства Ивановской области от 23.09.2021 N 447-п "О внесении изменений в постановление Правительства Ивановской области от 06.12.2017 N 460-п "Об утверждении государственной программы Ивановской области "Обеспечение доступным и комфортным жильем населения Ивановской области"
Скачать:
PDF (170 Кб)
Страница 2 из 5