Справка документа
Источник публикации
Документ опубликован не был
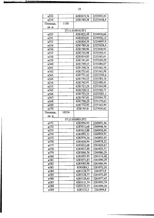
Распоряжение Правительства Ивановской области от 19.08.2021 N 85-рп "О внесении изменений в распоряжение Правительства Ивановской области от 19.02.2021 N 16-рп "Об утверждении проекта планировки и проекта межевания территории для строительства линейного объекта "Газопровод межпоселковый от д. Раменье до д. Понькино - д. Кузнечиха - д. Воробино - д. Шалимово - д. Пахотино - д. Клетино - д. Матюкино - д. Рудильницы - д. Овсяницы Палехского района - д. Черняткино - д. Харитоново Шуйского района Ивановской области"
Скачать:
PDF (805 Кб)
Страница 23 из 27