Справка документа
Источник публикации
Официальный сайт Правительства Ивановской области http://www.ivanovoobl.ru, 28.01.2021,
Официальный интернет-портал правовой информации http://pravo.gov.ru, 29.01.2021
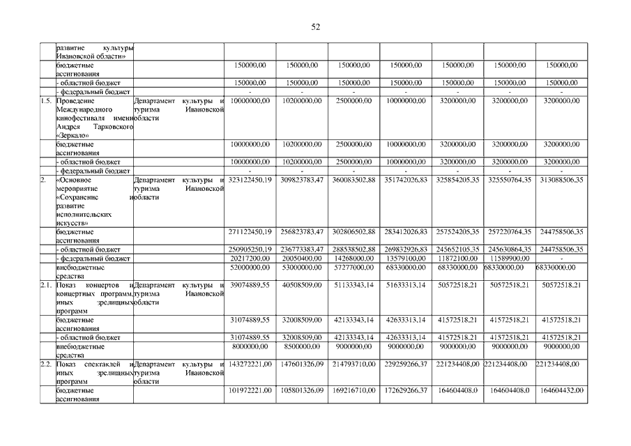
Постановление Правительства Ивановской области от 27.01.2021 N 6-п "О внесении изменений в постановление Правительства Ивановской области от 06.12.2017 N 455-п "Об утверждении государственной программы Ивановской области "Развитие культуры и туризма в Ивановской области" (вместе с "Порядком предоставления и распределения субсидий бюджетам муниципальных образований Ивановской области на создание центров культурного развития в городах с числом жителей до 300 тысяч человек")
Скачать:
PDF (3 Мб)
Страница 52 из 79