Справка документа
Источник публикации
Официальный интернет-портал правовой информации http://pravo.gov.ru, 24.12.2020
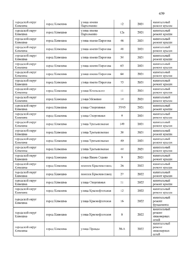
Постановление Правительства Ивановской области от 23.12.2020 N 655-п "О внесении изменений в постановление Правительства Ивановской области от 30.04.2014 N 164-п "Об утверждении региональной программы капитального ремонта общего имущества в многоквартирных домах, расположенных на территории Ивановской области" (вместе с "Перечнем многоквартирных домов, расположенных на территории Ивановской области, в отношении которых на период реализации программы планируется проведение капитального ремонта общего имущества")
Скачать:
PDF (52 Мб)
Страница 439 из 1155