Справка документа
Источник публикации
Официальный интернет-портал правовой информации http://pravo.gov.ru, 23.12.2020
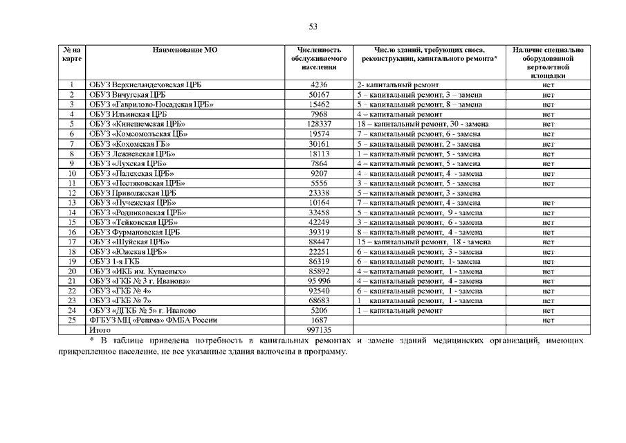
Постановление Правительства Ивановской области от 15.12.2020 N 626-п "Об утверждении Региональной программы модернизации первичного звена здравоохранения Ивановской области на 2021 - 2025 годы"
Скачать:
PDF (23 Мб)
Страница 53 из 618