Справка документа
Источник публикации
Документ опубликован не был
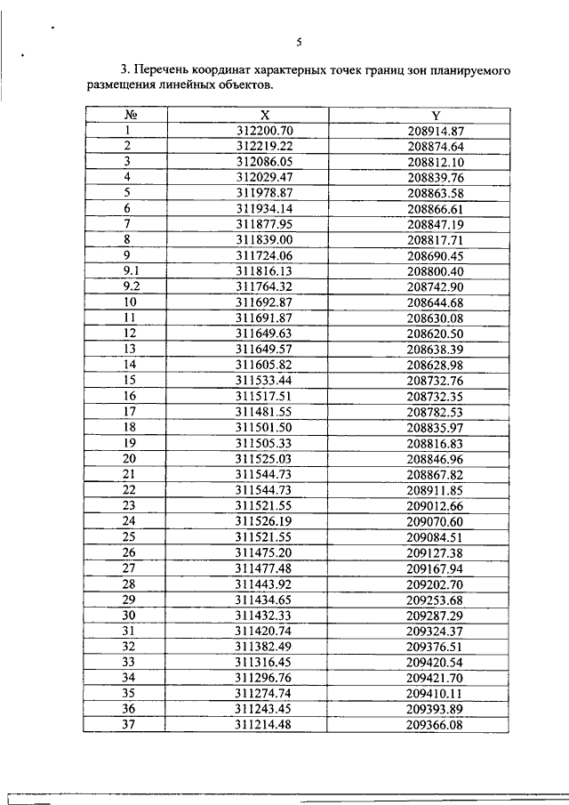
Распоряжение Правительства Ивановской области от 21.12.2020 N 179-рп "О внесении изменений в распоряжение Правительства Ивановской области от 28.12.2018 N 177-рп "Об утверждении проекта планировки и проекта межевания территории для строительства водовыпускного гидротехнического сооружения: водовод от плотины в районе р. Уводь до ОНВС-I в м. Авдотьино"
Скачать:
PDF (984 Кб)
Страница 5 из 30