Справка документа
Источник публикации
Документ опубликован не был
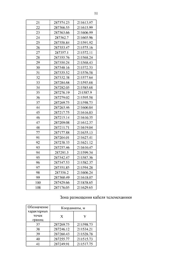
Распоряжение Правительства Ивановской области от 07.12.2020 N 175-рп "Об утверждении проекта планировки и проекта межевания территории для реконструкции объектов автоматизированных систем управления технологическими процессами (АСУ ТП) в составе проекта "Телемеханизация газопроводов-отводов и ГРС газопровода Саратов - Горький - Череповец" ООО "Волготрансгаз"
Скачать:
PDF (3 Мб)
Страница 11 из 114