Справка документа
Источник публикации
Официальный интернет-портал правовой информации http://pravo.gov.ru, 13.11.2020
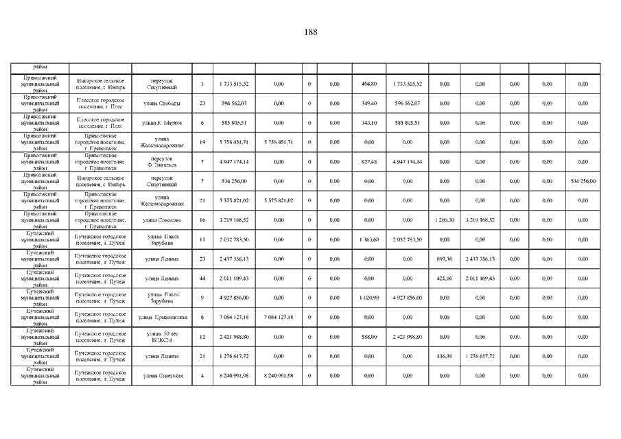
Постановление Правительства Ивановской области от 12.11.2020 N 562-п "О внесении изменения в постановление Правительства Ивановской области от 24.01.2018 N 22-п "Об утверждении краткосрочного плана реализации региональной программы капитального ремонта общего имущества в многоквартирных домах, расположенных на территории Ивановской области, на 2018 - 2020 годы"
Скачать:
PDF (9 Мб)
Страница 188 из 209