Справка документа
Источник публикации
Официальный сайт Правительства Ивановской области http://www.ivanovoobl.ru, 30.10.2020,
Официальный интернет-портал правовой информации http://pravo.gov.ru, 03.11.2020
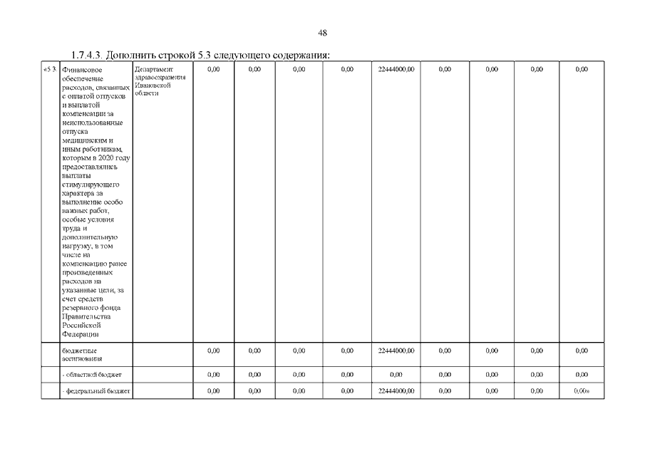
Постановление Правительства Ивановской области от 30.10.2020 N 541-п "О внесении изменений в постановление Правительства Ивановской области от 13.11.2013 N 449-п "Об утверждении государственной программы Ивановской области "Развитие здравоохранения Ивановской области"
Скачать:
PDF (2 Мб)
Страница 48 из 49