Справка документа
Источник публикации
Официальный интернет-портал правовой информации http://www.pravo.gov.ru, 11.07.2020
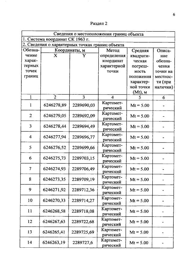
Постановление Правительства Ивановской области от 09.07.2020 N 318-п "О внесении изменений в постановление Правительства Ивановской области от 05.03.2015 N 64-п "О памятнике природы Ивановской области "Озеро Глубокое" (вместе с "Картой (схемой) границ памятника природы Ивановской области "Озеро Глубокое" с зоной регулируемого посещения - резерватом")
Скачать:
PDF (886 Кб)
Страница 6 из 26