Справка документа
Источник публикации
Документ опубликован не был
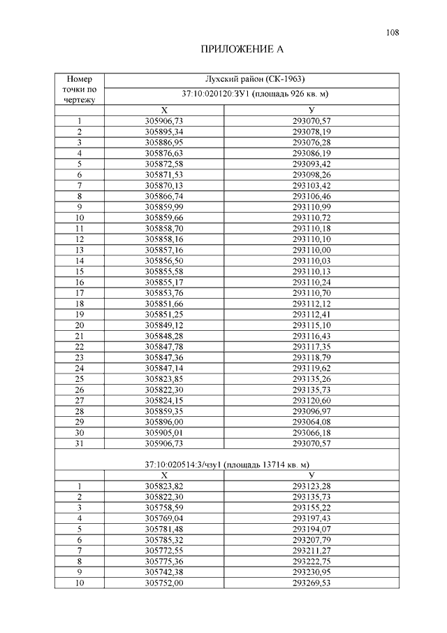
Распоряжение Правительства Ивановской области от 08.07.2020 N 90-рп "Об утверждении проекта планировки и проекта межевания территории, предназначенной для строительства объекта "Газопровод-отвод и ГРС Лух Ивановской области (1 этап)"
Скачать:
PDF (2 Мб)
Страница 28 из 55