Справка документа
Источник публикации
Официальный интернет-портал правовой информации http://www.pravo.gov.ru, 17.03.2020
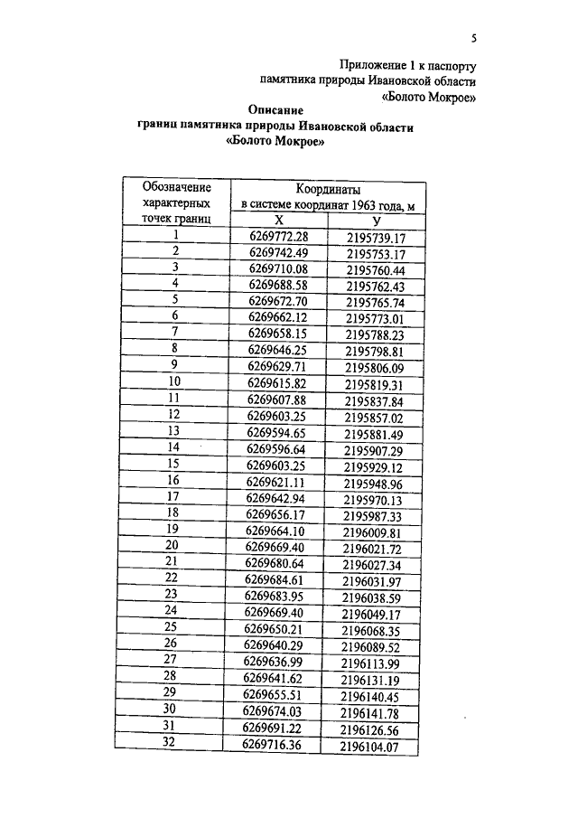
Постановление Правительства Ивановской области от 16.03.2020 N 122-п "О памятнике природы Ивановской области "Болото Мокрое" (вместе с "Паспортом памятника природы Ивановской области "Болото Мокрое")
Скачать:
PDF (1 Мб)
Страница 5 из 37