Справка документа
Источник публикации
Официальный интернет-портал правовой информации http://www.pravo.gov.ru, 12.03.2020
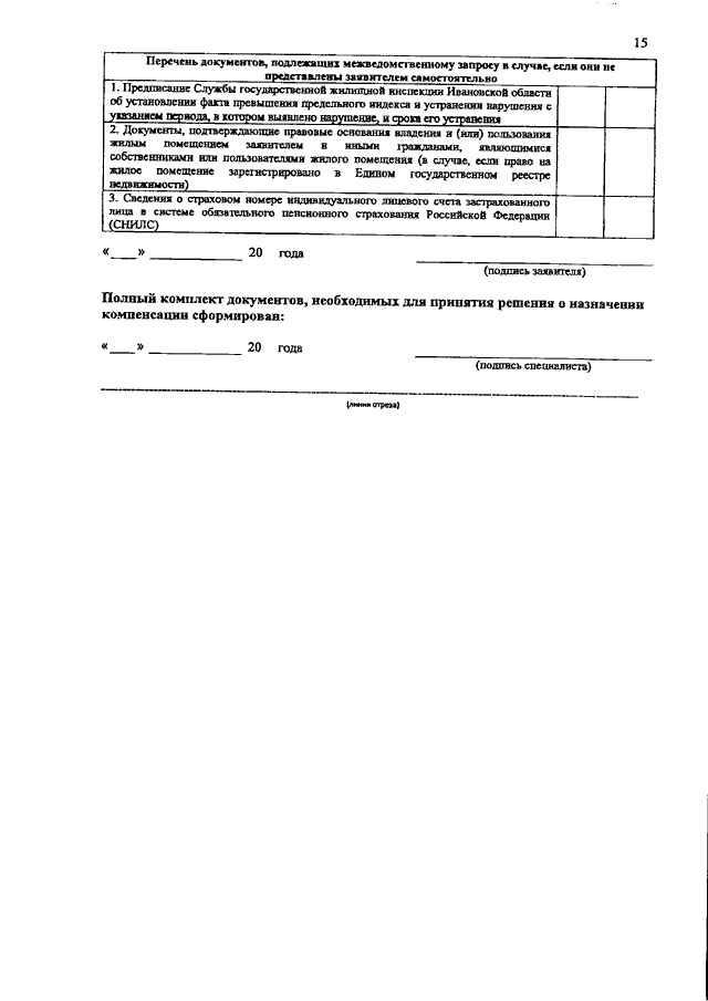
Постановление Правительства Ивановской области от 10.03.2020 N 105-п "О предоставлении гражданам компенсации при превышении установленных предельных (максимальных) индексов изменения размера вносимой гражданами платы за коммунальные услуги в муниципальных образованиях Ивановской области" (вместе с "Порядком предоставления гражданам компенсации при превышении установленных предельных (максимальных) индексов изменения размера вносимой гражданами платы за коммунальные услуги в муниципальных образованиях Ивановской области")
Скачать:
PDF (646 Кб)
Страница 15 из 15