Справка документа
Источник публикации
Официальный интернет-портал правовой информации http://www.pravo.gov.ru, 12.03.2020
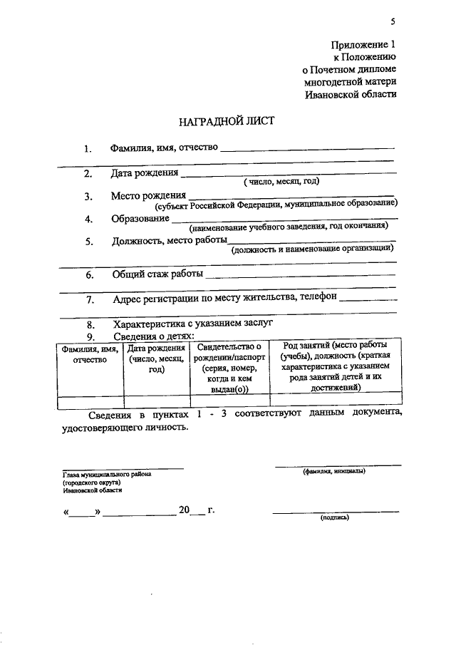
Постановление Правительства Ивановской области от 10.03.2020 N 107-п "О Почетном дипломе многодетной матери Ивановской области" (вместе с "Положением о Почетном дипломе многодетной матери Ивановской области")
Скачать:
PDF (231 Кб)
Страница 5 из 8