Справка документа
Источник публикации
Официальный интернет-портал правовой информации http://www.pravo.gov.ru, 03.02.2020
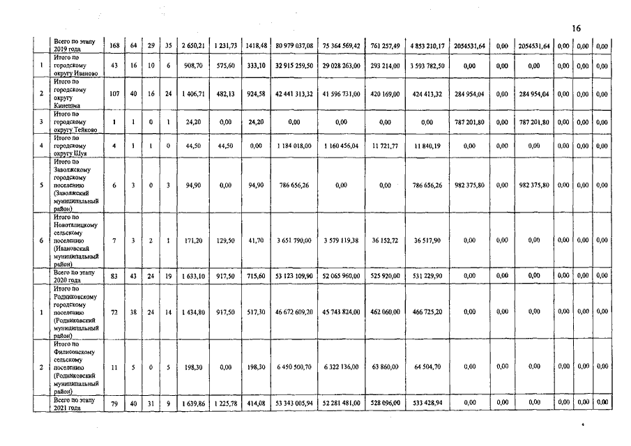
Постановление Правительства Ивановской области от 29.01.2020 N 31-п "О внесении изменений в постановление Правительства Ивановской области от 09.04.2019 N 131-п "Об утверждении региональной адресной программы "Переселение граждан из аварийного жилищного фонда на территории Ивановской области на 2019 - 2025 годы" (вместе с "Перечнем многоквартирных домов, признанных аварийными до 1 января 2017 года", "Планом реализации мероприятий по переселению граждан из аварийного жилищного фонда, признанного таковым до 1 января 2017 года, по способам переселения", "Планом мероприятий по переселению граждан из аварийного жилищного фонда, признанного таковым до 1 января 2017 года")
Скачать:
PDF (680 Кб)
Страница 16 из 21