Справка документа
Источник публикации
Официальный интернет-портал правовой информации http://www.pravo.gov.ru, 24.12.2019
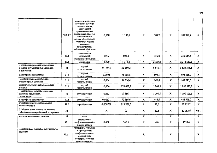
Постановление Правительства Ивановской области от 23.12.2019 N 547-п "О внесении изменений в постановление Правительства Ивановской области от 28.12.2018 N 420-п "Об утверждении Территориальной программы государственных гарантий бесплатного оказания гражданам медицинской помощи на территории Ивановской области на 2019 год и на плановый период 2020 и 2021 годов" (вместе с "Перечнем медицинских организаций, участвующих в предоставлении паллиативной медицинской помощи", "Перечнем медицинских организаций, проводящих профилактические медицинские осмотры, в том числе в рамках диспансеризации")
Скачать:
PDF (1 Мб)
Страница 29 из 36