Справка документа
Источник публикации
Официальный интернет-портал правовой информации http://www.pravo.gov.ru, 09.12.2019
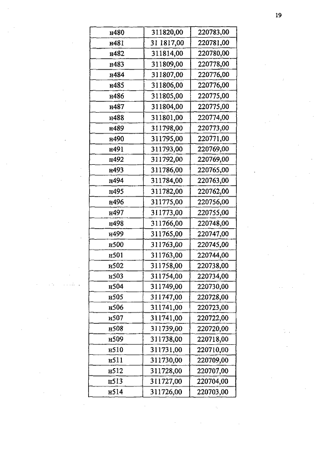
Постановление Правительства Ивановской области от 05.12.2019 N 505-п "О внесении изменений в постановление Правительства Ивановской области от 24.04.2014 N 156-п "О памятнике природы Ивановской области "Озеро Валдайское" (вместе с "Картами (схемами) границ памятника природы Ивановской области "Озеро Валдайское")
Скачать:
PDF (687 Кб)
Страница 19 из 26