Справка документа
Источник публикации
Документ опубликован не был
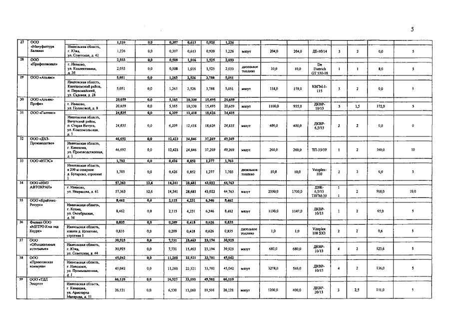
Распоряжение Правительства Ивановской области от 18.11.2019 N 175-рп "Об утверждении графиков перевода потребителей газа Ивановской области на резервные виды топлива при похолоданиях в I квартале 2020 года и ограничения снабжения газом покупателей Ивановской области и очередности их отключения в случае нарушения технологического режима работы газотранспортной системы при аварии в I квартале 2020 года"
Скачать:
PDF (502 Кб)
Страница 5 из 15