Справка документа
Источник публикации
Официальный интернет-портал правовой информации http://www.pravo.gov.ru, 23.10.2019
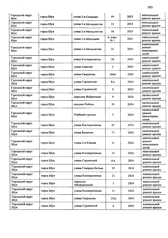
Постановление Правительства Ивановской области от 14.10.2019 N 406-п "О внесении изменения в постановление Правительства Ивановской области от 30.04.2014 N 164-п "Об утверждении региональной программы капитального ремонта общего имущества в многоквартирных домах, расположенных на территории Ивановской области" (вместе с "Перечнем многоквартирных домов, расположенных на территории Ивановской области, в отношении которых на период реализации программы планируется проведение капитального ремонта общего имущества")
Скачать:
PDF (49 Мб)
Страница 585 из 1208