Справка документа
Источник публикации
Документ опубликован не был
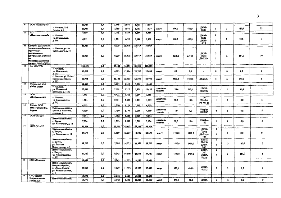
Распоряжение Правительства Ивановской области от 23.09.2019 N 147-рп "Об утверждении графиков перевода потребителей газа Ивановской области на резервные виды топлива при похолоданиях в IV квартале 2019 года и ограничения снабжения газом покупателей Ивановской области и очередности их отключения в случае нарушения технологического режима работы газотранспортной системы при аварии в IV квартале 2019 года"
Скачать:
PDF (586 Кб)
Страница 3 из 16