Справка документа
Источник публикации
Официальный интернет-портал правовой информации http://www.pravo.gov.ru, 25.06.2019
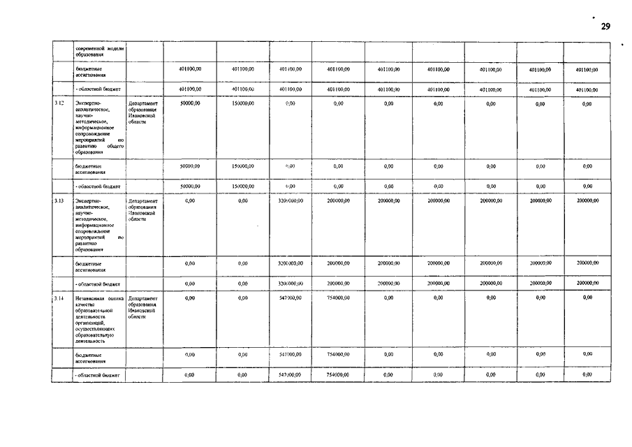
Постановление Правительства Ивановской области от 24.06.2019 N 229-п "О внесении изменений в постановление Правительства Ивановской области от 13.11.2013 N 450-п "Об утверждении государственной программы "Развитие образования Ивановской области" (вместе с "Порядком предоставления грантов в форме субсидий на реализацию пилотных проектов по обновлению содержания и технологий дополнительного образования по приоритетным направлениям")
Скачать:
PDF (3 Мб)
Страница 29 из 94