Справка документа
Источник публикации
Официальный интернет-портал правовой информации http://www.pravo.gov.ru, 26.03.2019
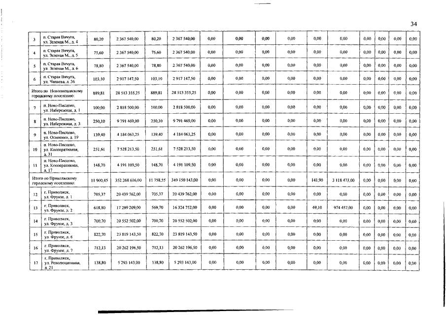
Постановление Правительства Ивановской области от 25.03.2019 N 106-п "О внесении изменений в постановление Правительства Ивановской области от 15.04.2013 N 134-п "Об утверждении региональной адресной программы "Переселение граждан из аварийного жилищного фонда на территории Ивановской области на 2013 - 2018 годы" (вместе с "Перечнем аварийных многоквартирных домов, из которых граждане подлежат переселению в многоквартирные дома, в том числе отнесенные к домам малоэтажной застройки", "Реестром аварийных многоквартирных домов по способам переселения, из которых граждане подлежат переселению в многоквартирные дома, в том числе отнесенные к домам малоэтажной застройки")
Скачать:
PDF (3 Мб)
Страница 34 из 45