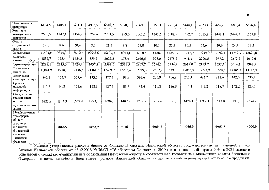
Справка документа
Источник публикации
Официальный интернет-портал правовой информации http://www.pravo.gov.ru, 11.02.2019
Статус документа
Утратил силу
Утратил силу в связи с изданием следующего документа:
Постановление Правительства Ивановской области от 16.03.2023 N 134-п
Постановление Правительства Ивановской области от 06.02.2019 N 44-п "О внесении изменений в постановление Правительства Ивановской области от 15.02.2017 N 41-п "Об утверждении бюджетного прогноза Ивановской области на 2017 - 2030 годы"
Скачать:
PDF (1 Мб)
Страница 10 из 27