Справка документа
Источник публикации
Официальный сайт Правительства Ивановской области http://www.ivanovoobl.ru, 07.02.2019,
Официальный интернет-портал правовой информации http://www.pravo.gov.ru, 08.02.2019
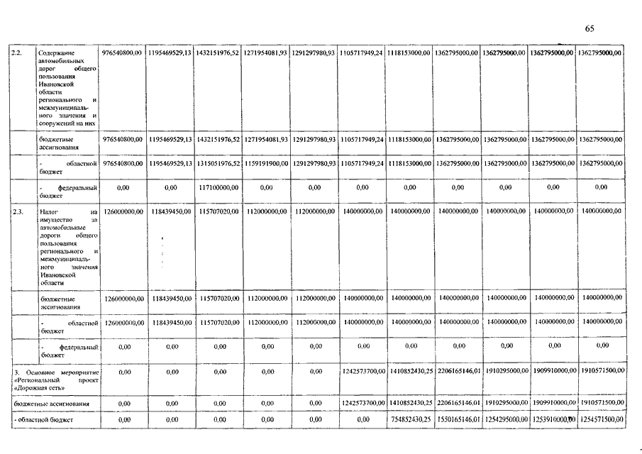
Постановление Правительства Ивановской области от 06.02.2019 N 32-п "О внесении изменений в постановление Правительства Ивановской области от 13.11.2013 N 447-п "Об утверждении государственной программы Ивановской области "Развитие транспортной системы Ивановской области" (вместе с "Паспортом подпрограммы", "Правилами предоставления и распределения иных межбюджетных трансфертов местным бюджетам на строительство (реконструкцию), капитальный ремонт и ремонт автомобильных дорог общего пользования местного значения", "Подпрограммой "Субсидирование транспортного обслуживания населения Ивановской области")
Скачать:
PDF (4 Мб)
Страница 65 из 100