Справка документа
Источник публикации
Документ опубликован не был
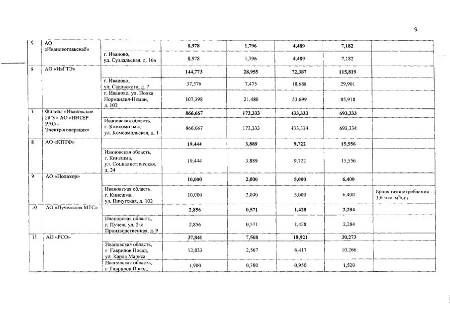
Распоряжение Правительства Ивановской области от 13.12.2018 N 168-рп "Об утверждении графиков перевода потребителей газа Ивановской области на резервные виды топлива при похолоданиях в I квартале 2019 года и ограничения снабжения газом покупателей Ивановской области и очередности их отключения в случае нарушения технологического режима работы газотранспортной системы при аварии в I квартале 2019 года"
Скачать:
PDF (644 Кб)
Страница 9 из 16