Справка документа
Источник публикации
Официальный интернет-портал правовой информации http://www.pravo.gov.ru, 29.11.2018,
"Ивановская газета", N 95(6197), 30.11.2018
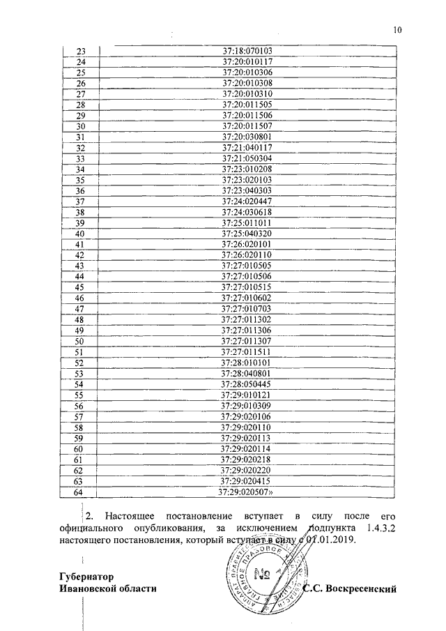
Постановление Правительства Ивановской области от 27.11.2018 N 345-п "О внесении изменений в постановление Правительства Ивановской области от 31.12.2014 N 606-п "Об утверждении государственной программы Ивановской области "Управление имуществом Ивановской области и земельными ресурсами"
Скачать:
PDF (573 Кб)
Страница 10 из 10