Справка документа
Источник публикации
Документ опубликован не был
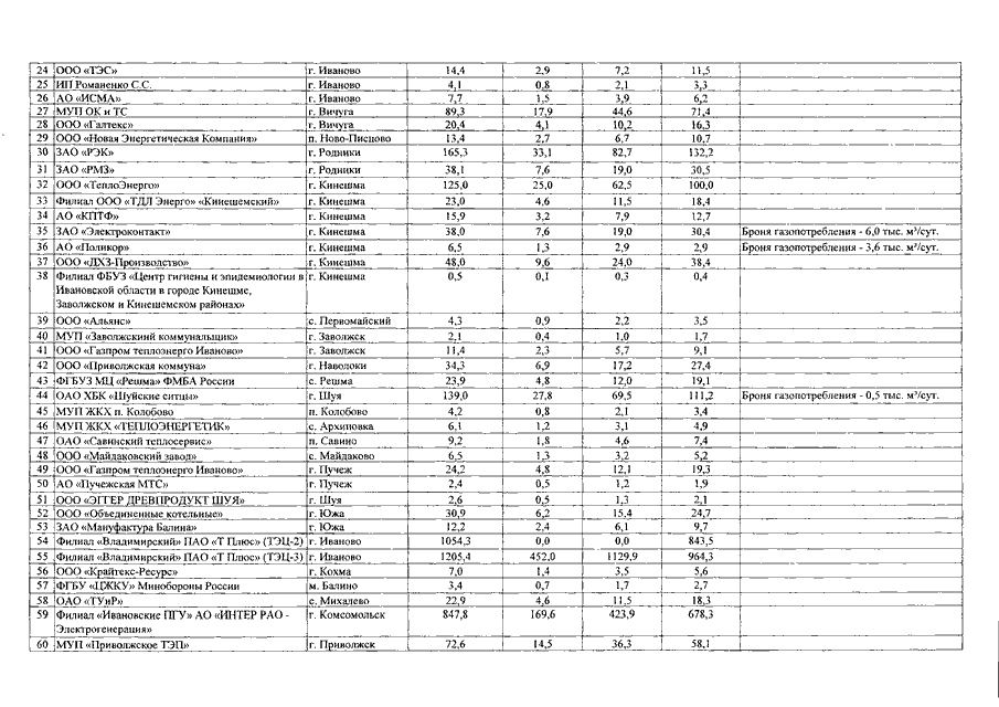
Распоряжение Правительства Ивановской области от 14.09.2018 N 107-рп "Об утверждении графиков перевода потребителей газа Ивановской области на резервные виды топлива при похолоданиях в IV квартале 2018 года и ограничения снабжения газом покупателей Ивановской области и очередности их отключения в случае нарушения технологического режима работы газотранспортной системы при аварии в IV квартале 2018 года"
Скачать:
PDF (348 Кб)
Страница 6 из 7