Справка документа
Источник публикации
Официальный сайт Правительства Ивановской области http://www.ivanovoobl.ru, 26.01.2018
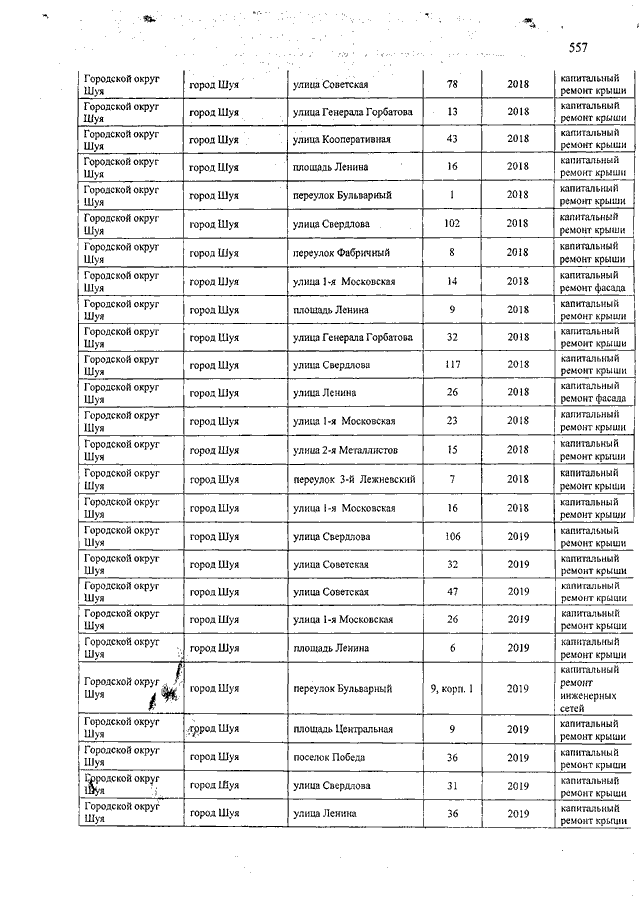
Постановление Правительства Ивановской области от 24.01.2018 N 18-п "О внесении изменения в постановление Правительства Ивановской области от 30.04.2014 N 164-п "Об утверждении региональной программы капитального ремонта общего имущества в многоквартирных домах, расположенных на территории Ивановской области" (вместе с "Перечнем многоквартирных домов, расположенных на территории Ивановской области, в отношении которых на период реализации программы планируется проведение капитального ремонта общего имущества")
Скачать:
PDF (86 Мб)
Страница 557 из 1251