Справка документа
Источник публикации
Документ опубликован не был
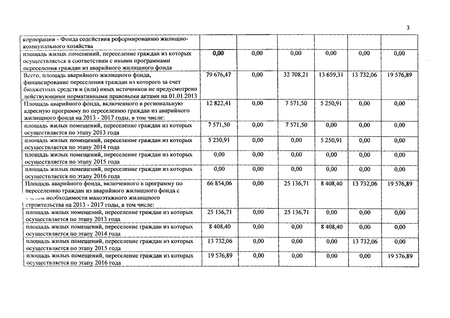
Распоряжение Правительства Ивановской области от 03.11.2017 N 202-рп "О внесении изменения в распоряжение Правительства Ивановской области от 26.03.2013 N 55-рп "Об утверждении плана мероприятий ("дорожной карты") по переселению граждан из аварийного жилищного фонда (жилых помещений в многоквартирных домах, признанных в установленном порядке до 1 января 2012 года аварийными и подлежащими сносу или реконструкции в связи с физическим износом в процессе их эксплуатации)"
Скачать:
PDF (269 Кб)
Страница 3 из 5