Справка документа
Источник публикации
"Собрание законодательства Ивановской области", 17.11.2009, N 43(463)
Статус документа
Утратил силу
Утратил силу в связи с изданием следующего документа:
Постановление Правительства Ивановской области от 08.04.2021 N 175-п
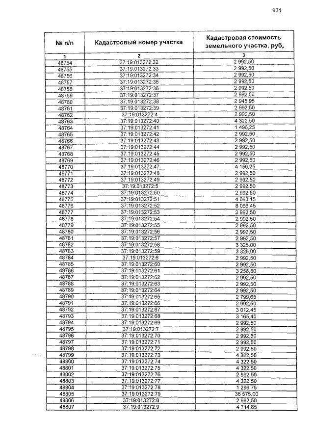
Постановление Правительства Ивановской области от 23.10.2009 N 300-п "Об утверждении результатов государственной кадастровой оценки земель садоводческих, огороднических и дачных объединений Ивановской области"
Скачать:
PDF (73 Мб)
Страница 909 из 1124